深浅模式
示例
实现设备搬运可配置的应用

流程介绍
在wms的自动化仓库中,有很多时候会对接设备来实现物料的搬运转移,而对接的设备会有很多不同类型的控制系统以及流程。 这个例子是在顺德大参林中PTR收货的设备流程
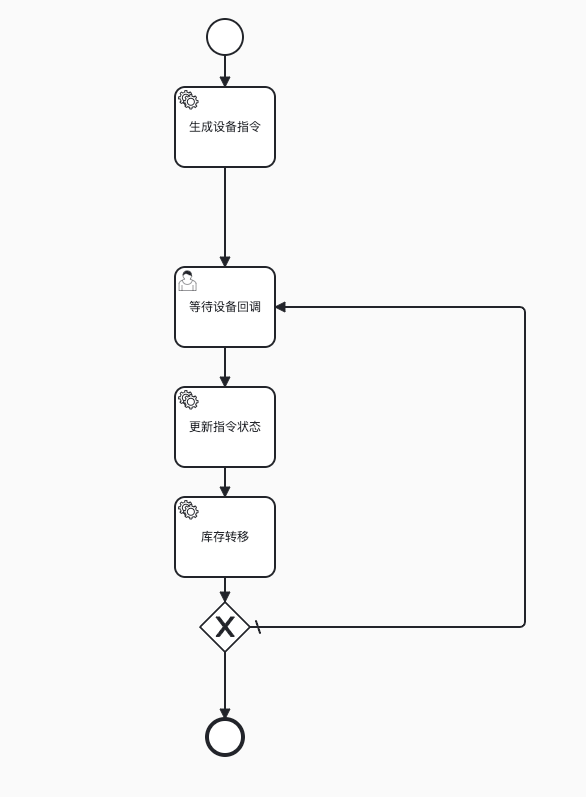
流程描述:
- 在收货业务中,确定了托盘容器的目的位置,然后发起一个PTR搬运流程
- 流程第一个节点是生成对应设备要执行任务的相关数据,关键数据有 容器号、起始点位、目标点位、设备类型、控制系统、优先级等
- 在上个节点中生成的数据,会由统一的定时任务发送给设备控制系统
- 生成设备指令后,流程会等待在 等待设备回调 节点。
- 当收到设备系统的回调后,会依次执行更新 指令状态、库存转移等过程节点任务
- 流程来到排他网关,判断设备回调是否标记搬运已经完成,如果已经完成则流程结束,如果未完成则流程会继续等待下次设备回调,直到完成
关键节点的配置



弹出接口列表

选择接口



